| Dokumente | |
|
|
Dokumentvorschau |
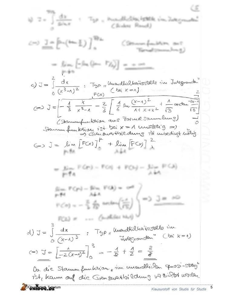
Gerechnete Übungsaufg. Integralrechnung |
Dokument-Nr.: F-AAZT |
|
|
Dokument-DownloadUm Zugriff auf dieses Dokument zu erhalten, musst Du Mitglied der UNIDOG Community sein. |
|
Inhalt / Beschreibung
7. Übungsblatt für das Tutorium in Mathe mit Thema Integralrechnung. |
|
Vorschau-Ausschnitte
|
||||



