| Dokumente | |
|
|
Dokumentvorschau |
Volkswirtschaftslehre |
Dokument-Nr.: F-ACA6 |
|
|
Dokument-DownloadUm Zugriff auf dieses Dokument zu erhalten, musst Du Mitglied der UNIDOG Community sein. |
|
Inhalt / Beschreibung
Dieses Dokument ist eine Zusammenfassung aller 12 Vorlesungen des Faches Volkswirtschaftslehre. |
|
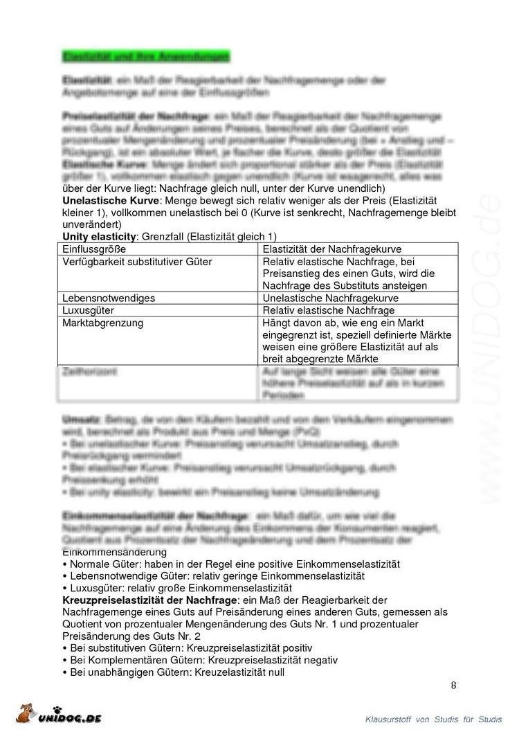
Vorschau-Ausschnitte
|
|||||||



