AjaxLoader
Bitte warten ...
 
Universitäten und FHs aus
Deutschland Schweiz Österreich Niederlanden
Dokumente
Dokumentvorschau


Zusammenfassung Mikroökonomik - Luca Rebeggiani

Dokument-Nr.:  F-AK2B

UNIDOG-Autor: sinamalin

Zugehöriger Dozent(en):
(Nicht Verfasser des Dokuments)

Luca Rebeggiani


Kauf- / Tauschwert: 4,00 €
Kategorie: Zusammenfassung / Skript
Dokument-Typ: Fachthema-Zusammenfassung
Seiten: 30
Semester: WS2015-2016

Erzielte Note:
1,3

Dokument-Download

Um Zugriff auf dieses Dokument zu erhalten, musst Du Mitglied der UNIDOG Community sein.
Inhalt / Beschreibung

Unterteilt in Teil Mikroökonomik und Teil Institutionenökonomik.

 

Teil 1:

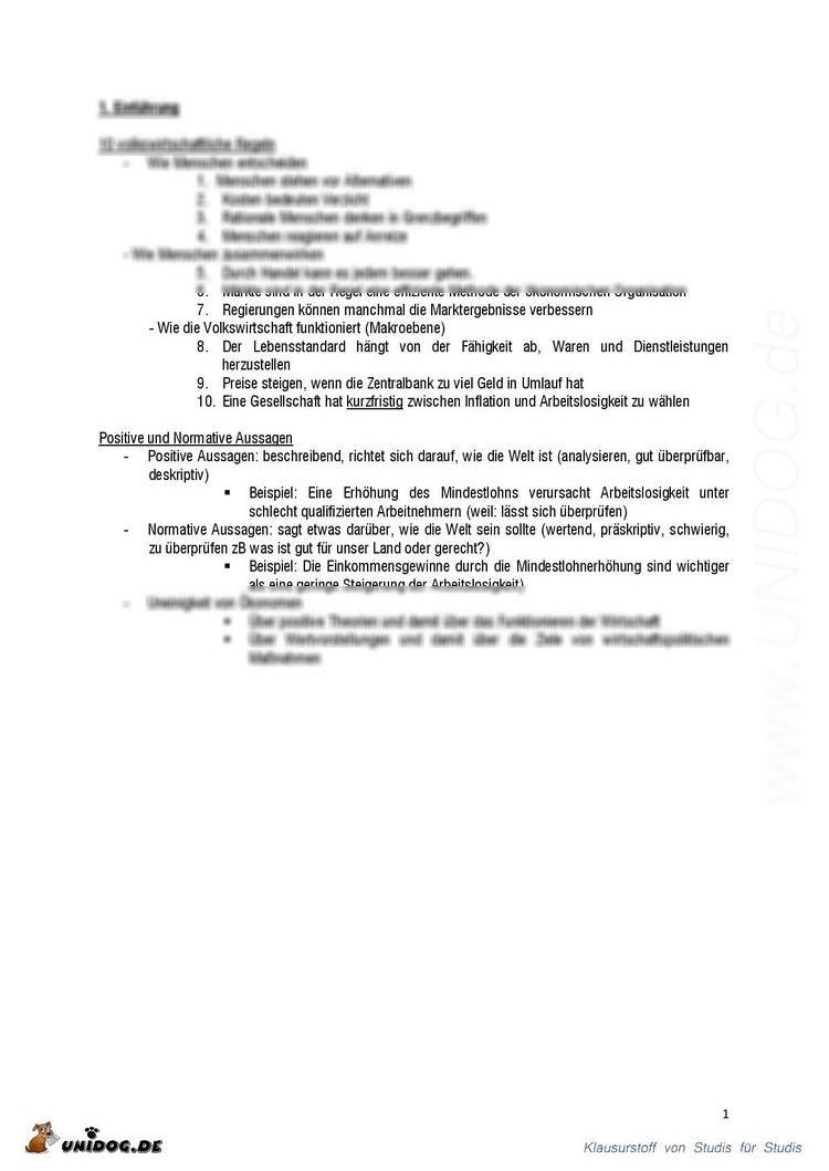
- Einführung

- Theorie der Konsumentenentscheidungen

- Unternehmensverhalten und Industrieökonomik

- Angebot und Nachfrage im Zusammenspiel

 

Teil 2:

- Institutionen: Anreizgestaltung bei privaten Transaktionen

- Institutionen und politisches Verhalten


Das Dokument erhält meines Erachtens alles, was in der Klausur vorkommen kann. Wenn man dieses Dokument auswendig kennt (viele Graphen, sodass der Inhalt weniger als 30 Seiten sind), ist es nicht möglich durchzufallen.

Der Teil von Herrn Rebeggiani hat 120 mögliche Punkte gegeben.

Datum: 
2016-02-11 18:00 Dozent: Professor Dr. Luca Rebeggiani Eigene Punkte: 110,00 Punkte (Klausureinsicht bis zum 30. Juni 2016 möglich!) Eigene Note:1,7

Dokumentbewertung (19)

Inhalt:
Klausurrelevanz:
Aufbereitung:
Gesamtbewertung:
Kommentare

IraLaureen 13.02.2020
Ich habe das Dokument mit 4 Sternen bewertet.
jillsuessemaus 26.07.2019
Sehr gut!
Alex1337 22.07.2019
Ich habe das Dokument mit 4 Sternen bewertet.
Lusia92 15.10.2018
Ich habe das Dokument mit 4 Sternen bewertet.
Schomi 15.10.2018
Ich habe das Dokument mit 4 Sternen bewertet.
Matthiaretz_95 26.09.2018
Ich habe das Dokument mit 4 Sternen bewertet.
Harden13 02.07.2018
Ich habe das Dokument mit 4 Sternen bewertet.
RostockER1983 30.06.2018
Gute, sehr umfangreiche Aufbereitung des Lehrstoffs zu o.a. Thema.
WaitaWhile 22.04.2018
gute Zusammenfassung , reicht für eine 2,0-3,0 wer sich mehr erhofft muss jedoch sein Script mit als Lehrneinheit aufnehmen
e.gueluestan 12.03.2018
Ich habe das Dokument mit 3 Sternen bewertet.
BlairTipp 15.12.2017
Gut zur Ergänzung der eigenen Zusammenfassung
Sidney_TH 28.11.2017
Bin sehr zufrieden mit der Zusammenfassung, war eine gute Hilfe bei der Vorbereitung.
bidum_123 03.10.2017
Schöne Zusammenfassung, hat mir sehr geholfen, die Inhalte der Vorlesung besser und kompakter zu begreifen
rossen93 16.06.2017
Ich habe das Dokument mit 4 Sternen bewertet.
chrjul86 09.04.2017
Eine gute und sehr übersichtliche Zusammenfassung. Es sind lediglich ein paar Inhalte hinzugekommen/ haben sich leicht geändert.
Finie86 21.03.2017
Ich habe das Dokument mit 4 Sternen bewertet.
Ina2016 20.01.2017
Klasse Zusammenfassung aller wichtigen Themen. Vielen Dank.
Sebastian93 15.01.2017
5/5 Sternen
P18000 19.12.2016
Gute zusammenfassung
Dokument empfehlen



Vorschau-Ausschnitte


Vorschaubild 1 Vorschaubild 2 Vorschaubild 3
Vorschaubild 4 Vorschaubild 5 Vorschaubild 6