| Dokumente | |
|
|
Dokumentvorschau |
| Startseite Bayerische Julius-Maximilians-... Wirtschaftswissenschaftliche F... Quantitative Wirtschaftsforsch... |
QWF Zusammenfassung |
Dokument-Nr.: F-AIT2 |
|
|
Dokument-DownloadUm Zugriff auf dieses Dokument zu erhalten, musst Du Mitglied der UNIDOG Community sein. |
|
Inhalt / Beschreibung
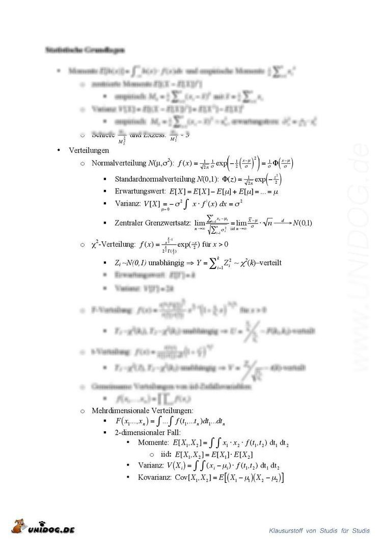
eine Zusammenfassung von qwf aus 08/09. ist sehr theoretisch aber vielleicht hilft es jemanden |
|
Vorschau-Ausschnitte
|
|||||



